,
Nomenclador Maestro De Apoyo 2024

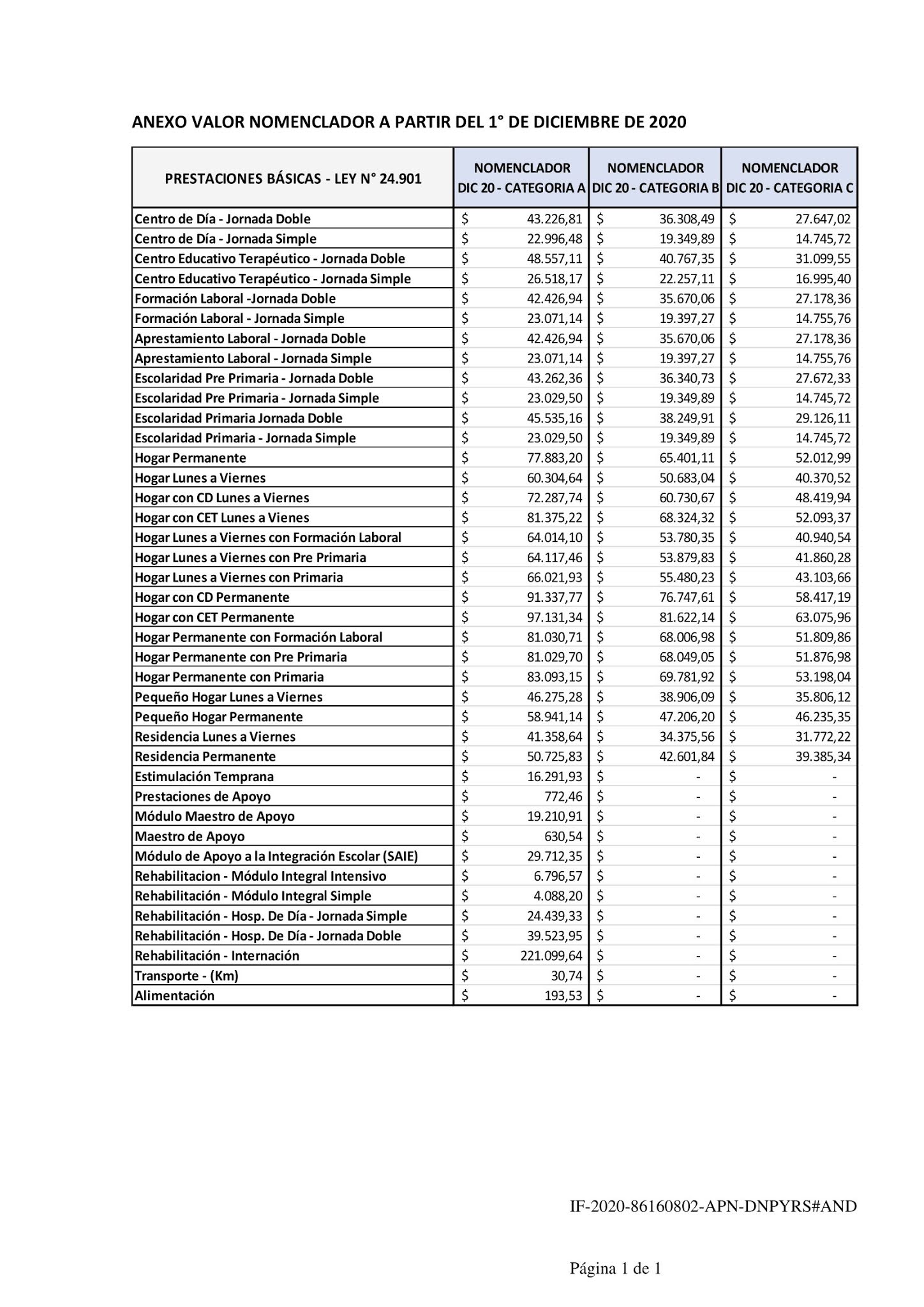
Nomenclador Maestro De Apoyo 2024. Taller de herramientas para la organización del tiempo. Que la referida propuesta comprende establecer un incremento de los aranceles del nomenclador del sistema de prestaciones de atención integral a favor de las personas con discapacidad, en dos (2) tramos acumulativos, según el siguiente detalle:


Nomenclador Maestro De Apoyo 2024

Ciudad de buenos aires, 11/11/2016. A través de la resolución conjunta 3/2024 y con vigencia retroactiva a abril, el incremento contemplará el reconocimiento de un adicional del 20% para aquellos servicios que se brindan en las.

Que, En Virtud De Lo Dispuesto En El Decreto N° 1606 Del 29 De Agosto De 2002 Se Transfirió Al Ministerio De Salud La Gestión De La Cobertura Médica De Los Titulares De Pensiones No Contributivas Otorgadas Y A Otorgarse Con Intervención De La Comisión Nacional De.

Guía de acceso 2024 a las prestaciones de discapacidad material para afiliados / beneficiarios.

A Través De La Resolución Conjunta 1/2024 Publicada Este Jueves En El Boletín Oficial, El Ministerio De Salud Y La Agencia Nacional De Discapacidad, Disponen La Actualización De Los Valores De Los Aranceles Vigentes.

Que la referida propuesta comprende establecer un incremento de los aranceles del nomenclador del sistema de prestaciones de atención integral a favor de las personas con discapacidad equivalente al doce por ciento (12%), retroactivo al mes de marzo de 2024.

Nomenclador Maestro De Apoyo 2024 Images References :

Que La Referida Propuesta Comprende Establecer Un Incremento De Los Aranceles Del Nomenclador Del Sistema De Prestaciones De Atención Integral A Favor De Las Personas Con Discapacidad, En Dos (2) Tramos Acumulativos, Según El Siguiente Detalle:

Que la referida propuesta comprende establecer un incremento de los aranceles del nomenclador del sistema de prestaciones de atención integral a favor de las personas con discapacidad equivalente al doce por ciento (12%), retroactivo al mes de marzo de 2024.

Requisitos Necesarios Para Gestionar La Cobertura De Prestaciones Por Discapacidad Correspondiente Al Año 2024.

Que en uso de las facultades conferidas por el artículo 2 del decreto n° 1193/98, por resolución n° 428/99 del entonces ministerio de salud y acción social se aprobó el nomenclador de prestaciones básicas para personas con discapacidad, cuyos aranceles se actualizan periódicamente a partir de la propuesta.

More Details